研究内容
以下に、宇佐美がこれまで行ってきた研究を説明します。心理統計学・教育測定学・行動計量学等と呼ばれる立場から、現実の行動科学(教育学・心理学・医学など)
の研究・実践との接点を意識しながら、潜在変数モデリングを基軸とした統計学的方法の開発・応用研究を中心に進めてきました。
最近は特に縦断データ分析に関わる方法論の開発と応用に軸足を置いていますが、問題意識を幅広く持ち、必ずしも以下のようなテーマに限定しすぎず、
行動科学に関わる研究・実践上の問題の解決に資するような分野横断的な展開を目指していきたいと考えています。
研究キーワード: 縦断データ分析 構造方程式モデリング 項目反応モデル マルチレベルモデル 混合効果モデル 潜在成長モデル
交差遅延パネルモデル 因果推論 モデル選択 再帰分割回帰木 決定木 サンプルサイズ決定 実験デザイン 検定力 尺度構成法
ベイズ推測 計算機統計 教育測定 論述式・記述式テスト 心理検査 医学検査
1, 縦断データ分析(longitudinal data analysis)
2, 混合効果モデルを用いる研究における研究デザイン構築支援やモデル選択(research design for research that uses mixed-effects model)
3, 論述式・記述式テストに関する測定論的検討(measurement issues in essay type test)
4, 項目反応モデル(item response model)
5, 行動科学研究への統計学的手法の応用(statistical methods and applications for behavioral science)
6, 医学検査・心理検査等のテスト開発(development of clinical and psychological tests)
1, 縦断データ分析(longitudinal data analysis)

複数の対象(個人)に関して複数回収集されたデータは一般に縦断データ(longitudinal data)と呼ばれます。例えば、高齢者の身体能力がどのように変化していくかを追跡的に調査して得られたデータは縦断データです。
成長・発達軌跡(変化のパタン)の記述やその個人差・集団差に関する推測ならびに因果推論上の利点があることから、縦断データを活用した研究は年々増大し、現在ではおよそ毎年2万件以上の研究成果が報告されています。
私は、縦断データに関する以下の研究を進めてきました。
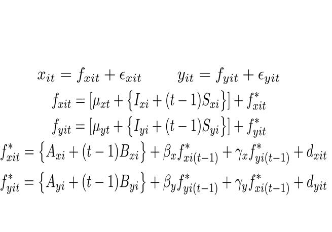
縦断的に測定された変数間の相互関係(reciprocal relation)さらには因果関係(causality)を推測するための方法論に関する研究。特に、(i)相互関係を調べることを目的として開発されてきた従来の
縦断モデル間の数理的・概念的関係性の精緻化、ならびに(ii)個人の安定的特性(stable trait)を特性因子と呼ばれる潜在変数によってモデリングし統制することを通した、
個人内関係(within-person relation)や因果関係を推論するための方法論の開発と考察。
時間経過に伴う個人の成長・発達・変化のパタンやその集団差・個人差を記述するための潜在成長モデル(latent growth model)や混合効果モデル(mixed-effects model)を基軸とした方法論
に関する研究。特に、
(i)ランダムに生じる時点特有の効果(time-specific effect)の影響を考慮したモデリング、(ii)縦断データに見られる多様な変化の背後にある、
(加齢に伴って身体能力が低下する人もいれば、ほとんど低下しない人もいる、と言ったような)複数の変化のパタンを検出すると
同時に類似したパタンを示すクラス・グループに対象を分類するための手法である潜在成長混合モデル(latent growth mixture model)や構造方程式モデル決定木(Structural Equation Model Trees: SEM Trees)
と呼ばれる方法論についての研究。

相互関係の推測に利用される縦断モデルの統合的表現 SEM Treesの適用例
(Usami, Murayama & Hamaker, 2019)
主要業績
Usami,S. (in press). A two step robust estimation approach to infer within-person relation in longitudinal design: Tutorial and simulations. Multivariate Behavioral Research.
Usami,S. (in press). Confidence interval-based determinations for optimal sample sizes and designs in a random intercept panel model. Structural Equation Modeling.
Mulder,J.D., Usami,S., & Hamaker,E.L. (2025). Joint effects in cross-lagged panel research using structural nested mean models. Structural Equation Modeling, 32(2), 339-355.
Usami,S. (2023). Within-person variability score-based causal inference: A two-step estimation for joint effects of time-varying treatments. Psychometrika, 88(4), 1466-1494. [Paper]
宇佐美慧 (2022). 個人内関係の推測と統計モデル―ランダム切片交差遅延パネルモデルを巡って― 発達心理学研究, 33, 267-286. [論文][補足資料]
Usami,S. (2021). On the differences between general cross-lagged panel model and random-intercept cross-lagged panel model: Interpretation of cross-lagged parameters and model choice. Structural Equation Modeling, 28, 331-344. [Paper]
Usami,S., Murayama,K., & Hamaker,E.L. (2019). A unified framework of longitudinal models to examine reciprocal relations. Psychological Methods, 24(5), 637-657.[Paper]
Usami,S., Jacobucci,R., & Hayes,T. (2019). Performance of latent growth model based structural equation model trees to uncover population heterogeneity in growth trajectories. Computational Statistics, 34(1), 1-22.[Paper]
Usami,S., & Murayama,K. (2018). Time-specific errors in growth curve modeling: Type-1 error inflation and a possible solution with mixed-effects models. Multivariate Behavioral Research, 53, 876-897.[Paper] [OSM]
Usami,S., Hayes,T., & McArdle,J.J. (2017). Fitting structural equation model trees and latent growth curve mixture models in longitudinal designs: The influence of model misspecification in estimating the number of classes. Structural Equation Modeling. 24, 585-598.
Usami,S., Hayes,T., & McArdle,J.J. (2015). Inferring longitudinal relationships between variables: model selection between the latent change score and autoregressive cross-lagged factor models. Structural Equation Modeling, 23, 331-342.
Usami,S., Hayes,T., & McArdle,J.J. (2015). On the mathematical relationship between latent change score model and autoregressive cross-lagged factor approaches: Cautions for inferring causal relationship between variables. Multivariate Behavioral Research, 50, 676-687.
宇佐美慧・荘島宏二郎 (2015). 発達心理学のための統計学―縦断データの分析― 誠信書房 [Amazon]
2, 混合効果モデルを用いる研究における研究デザイン構築支援やモデル選択(research design for research that uses mixed-effects model)

二段抽出の場合に代表されるように、行動科学のデータでは、収集された個人(例えば、生徒、患者、市民)の測定データが、それを包含するより高次の抽出単位である集団(例えば、学校、病院、地域)を介して得られている場合
が非常に多くあります。このような、個人のデータが集団に対してネストされている(=入れ子構造になっている)データは階層データ(hierarchical data)と呼ばれ、また階層データのための統計モデルに混合効果モデル
(または、マルチレベルモデル、階層線形モデル)があります。
このような階層データは実験研究・調査研究の双方において多く見られます。例えば、実験研究では、開発された数学用の新指導プログラムの効果を検証するために、学校単位で実験参加者を募り、
新指導プログラムを受ける実験群と、従来と同じ指導プログラムを受ける統制群に分けて、群間差(=実験効果)の有無を検証する場合です。
私は、このような階層データにおいて、「どの程度のサンプルサイズ(=集団と個人それぞれのサイズ)を収集すれば真に存在する(実験)効果の有無やその大きさを正確に評価できるか」という問題に興味があります。
この問題は一見極めて素朴なものですが、実は、真の(実験)効果が実用上十分に大きいにもかかわらず、サンプルサイズが少なかったために効果を統計学的に立証できない(または、
十分正確に推定できていない)例は多くあり、実践上も重要度の高い研究テーマです。この問題に関しては、研究仮説やデータ収集デザインの違いに応じた、
必要なサンプルサイズを計算するための公式の導出や、簡便な推定法、また数表や計算用のプログラムの作成など、実践上の利便性を重視した研究を行ってきました。
また、広義には縦断データも階層データの範疇に含めて扱えますが、縦断的なデザインを通して収集された実験データから実験効果を検証する際に必要なサンプルサイズを推定する簡便法についても研究を行いました。
他にも、混合効果モデルを用いて縦断的な変化の有無を検定する場合の第一種の過誤(帰無仮説が真のときに、誤ってそれを棄却する確率)の問題についても研究を進めてきました。
主要業績
Donnellan,E., Usami,S., Murayama,K., (2025). Random item slope regression: Examining both similarities and differences in the association with individual items. Psychological Methods, 30(4). 744-769.
Murayama,K., Usami,S., & Sakaki,M. (2022). Summary-statistics-based power analysis: A new and practical method to determine sample size for mixed-effects modelling. Psychological Methods, 27(6), 1014-1038.[Preprint]
Usami,S. (2020). Confidence interval-based sample size determination and some mathematical properties for hierarchical data. British Journal of Mathematical and Statistical Psychology, 73, 1-31.[Preprint]
Usami,S., & Murayama,K. (2018). Time-specific errors in growth curve modeling: Type-1 error inflation and a possible solution with mixed-effects models. Multivariate Behavioral Research, 53, 876-897.[Paper] [OSM]
Usami,S., (2016). Generalized sample size determination formulas for investigating contextual effects by a three-level random intercept model. Psychometrika, 82, 133-157.
Usami,S. (2014). A convenient method and numerical tables for sample size determination in longitudinal-experimental research using multilevel models. Behavior Research Methods. 46, 1207-1219.
Usami,S. (2013). Generalized sample size determination formulas for experimental research with hierarchical data. Behavior Research Methods. 46, 346-356.

思考力・判断力・表現力と呼ばれるような、「高次の能力」の測定・評価を如何に実現するかは、昨今の
大学入学共通テスト(旧センター試験)に代表される大学入試や人事試験等の領域を中心に常に大きな関心が寄せられていますが、そのために論述式・記述式テスト、
面接試験、パフォーマンステストと呼ばれるテスト形式を用いることの有効性がしばしば指摘されます。
しかし、一般的にも認識されているように、これらのテスト形式は「テストを通して測定・評価している能力の実体が不明瞭である(=妥当性の問題)」、「そのとき受験した問題内容や採点者の違いによる偶然性の影響を受けて採点結果が変動してしまう(=信頼性の問題)」、「文字の美しい答案は高い評価を受けやすい(=バイアスの問題)」という評価の測定論上の問題にも直面しやすいものです。
言うまでもなく、入試や資格試験に代表されるようなハイステイクス・テストの結果は受験者のキャリア形成に大きな影響を与えます。私は、このような測定論上の問題が現実的にどの程度
深刻であるのかを、特に小論文試験をはじめとした論述式テストデータを通して定量的に示すこと、またその結果を踏まえて測定論的な観点から実際のテストの作成方法や採点方法等に関して具体的かつ現実的な対応策を考えていくこと、の二点に関わる研究・実践を行ってきました。
主要業績

宇佐美慧 (2020). 記述式問題の現在ーテスト理論から見た検討課題ー 中村高康編 大学入試が分かる本 岩波書店
宇佐美慧 (2013). 論述式テストの運用における測定論的問題とその対処 日本テスト学会誌, 9, 145-164.[論文]
宇佐美慧 (2011). 小論文評価データの統計解析 ―制限字数を考慮した測定論的課題の検討― 行動計量学, 38, 33-50.[論文]
宇佐美慧 (2010). 採点者側と受験者側のバイアス要因の影響を同時に評価する多値型項目反応モデル. 教育心理学研究, 58, 163-175.[論文]

人事試験や資格試験に代表される大規模な試験では、各受験者がたまたま受けた試験問題の難易度や内容に極力左右されない、公平で尚且つ高精度の評価を実現する目的で、項目反応理論(item response theory:IRT)と呼ばれる方法論の普及が進んでいます。
例えば、国際的な英語能力試験として知られているTOEFLでもIRTが活用されています。私は、論文試験、面接試験、パフォーマンステストのような評価者の影響を一般に伴う
テストデータのためのIRTモデルの開発に関する研究を進めてきました。他にも、性格(パーソナリティ)や態度の測定において、項目提示方法を工夫することで社会的望ましさ(social desirability)に
代表される測定のバイアス要因の影響を低減するための試みやそのような方法の下で収集されたデータのためのIRTモデルの応用や方法論的検討を行ってきました。
主要業績
Usami,S., Sakamoto,A., Naito,J., & Abe,Y. (2016). Developing pairwise preference based personality test and experimental investigation of its resistance to faking effect by item response model. International Journal of Testing. 16, 288-309.
宇佐美慧 (2010). 採点者側と受験者側のバイアス要因の影響を同時に評価する多値型項目反応モデル. 教育心理学研究, 58, 163-175.[論文]

「統計学は科学の文法」・「統計学は縁の下の力持ち」と言われますが、私もこのような考えの下、潜在変数モデリングを一つの基軸とした統計学的手法を行動科学研究に広く応用していくことに関心があります。
新たな知見の創出や現実の問題の改善・解決を目指して高い志を持って研究を進めている教育学・心理学・医学(e.g.,臨床疫学、代謝学、形成外科学)領域の
先生方とともに、適用上の合理性も意識しながら、既存の或いは開発した方法論の応用を進めています。
主要業績
Knowles, et al., (2025). Trajectories of depressive symptoms among young people in London, UK, and Tokyo, Japan: a longitudinal cross-cohort study. The Lancet Child & Adolescent Health. 9(4), 224-233.
Hamada,Y., Minamikawa,Y., Usami,S., Toyama,T., Sawada,M., Saito,T. (2025). Proximal interphalangeal joint arthroplasty using self-locking type surface replacement implant for symptomatic osteoarthritis: Extended dorsal central splitting approach and intermediate-term outcome. Journal of Plastic, Reconstructive & Aesthetic Surgery, 102, 287-292.
Matsuda,S., Mori,T., Kasai,M., Kohyama,K., Nishida,H., Abe,S., Kuki,I., Kumada,S., Kurahashi,H., Miyama,S., Suzuki,M., Takanashi,J., Usami,S., Yamaguchi,S., Yamasaki,S., Nishida,A., Sakuma,H. (2025). Evidence-based diagnostic prediction score for pediatric NMDA receptor encephalitis. European Journal of Paediatric Neurology, 54, 50-57.
Hamano,S., Sawada,M., Aihara,M., Sakurai,Y., Sekine,R., Usami,S., Kubota,N., Yamauchi,T. (2024). Ultra-processed foods cause weight gain and increased energy intake associated with reduced chewing frequency: A randomized, open-label, crossover study. Diabetes, Obesity and Metabolism, 26(11), 5431-5443.
Uno,A., Nagaoka,D., Usami,S., Yamaguchi,S., Minami,R., Tanaka,R., Sawai,Y., Okuma,A., Yamasaki,S., Miyashita,M., Nishida,A., Kasai,K., & Ando,S. (2024). Suicidal thoughts and trajectories of psychopathological and behavioral symptoms in adolescence. JAMA network open, 7(1), e2353166-e2353166.
Nagaoka,D., Uno,A., Usami,S., Tanaka,R., Minami,R., Sawai,Y., Okuma,A., Yamasaki,S., Miyashita,M., Nishida,A., Kasai,K., & Ando,S. (2024). Identify adolescents' help-seeking intention on suicide through self- and caregiver's assessments of psychobehavioral problems: deep clustering of the Tokyo TEEN Cohort study. The Lancet Regional Health–Western Pacific, 43
Narita,Z., DeVylder,J., Yamasaki,S., Ando,S., Endo,K., Miyashita,M., Yamaguchi,S., Usami,S., Stanyon,D., Knowles,G., Hiraiwa-Hasegawa,M., Furukawa,T.A., Kasai,K, & Nishida,A. (2024). Uncovering associations between gender nonconformity, psychosocial factors, and mental health in adolescents: a birth cohort study. Psychological medicine, 54(5), 921-930.
Aihara,M., Jinnouchi,H., Yoshida,A, Ijima,H., Sakurai,Y., Hayashi,T., Koizumi,C., Kubota,T., Usami,S., Yamauchi,T., Sakata,T., Kadowaki,T., & Kubota,N. (2023). Evaluation of glycated albumin levels in tears and saliva as a marker in patients with diabetes mellitus. Diabetes Research and Clinical Practice, 199. 110637.
Ando,S., Suzuki,H., Matsukawa,T., Usami,S., Muramatsu,H., Fukunaga,T., Yokoyama,K., Okazaki,Y., & Nishida,A. (2022). Comparison of lithium levels between suicide and non-suicide fatalities: cross-sectional study. Translational Psychiatry, 12:466.
Hosozawa,M., Cable,N., Yamasaki,S., Ando,S., Endo,K., Usami,S., Nakanishi,M., Niimura,J., Nakajima,N., Baba,K., Oikawa,N., Stanyon,D., Suzuki,K., Miyashita,M., Iso,H., Hiraiwa-Hasegawa,M., Kasai,K., Nishida,A. (2022). Predictors of chronic loneliness during adolescence: a population-based cohort study. Child and Adolescent Psychiatry and Mental Health, 16(1), 1-9.
Nakanishi,M., Shibasaki,R., Yamasaki,S., Miyazawa,S., Usami,S., Nishiura,H., Nishida, A.(2021). COVID-19 and on-site dining in Tokyo: A time-series analysis using mobile phone location data. JMIR mHealth and uHealth, 9(5), e27342.
He,H., Usami,S., Rikimaru,Y., & Jiang,L. (2021). Cultural roots of parenting: mothers’parental social cognitions and practices from Western US and Shanghai/China. Frontiers in Psychology.
Sugimoto,A., Ono,S., Usami,S., Nitta,T., & Ogawa,R. (in press). Older patients and patients with severe arteriosclerosis are less likely to develop keloids and hypertrophic scars after thoracic midline incision: A survey-based analysis of 328 cases. Plastic and Reconstructive Surgery.
Aihara,M., Kubota,N., Minami,T., Shirakawa,R., Sakurai,Y., Hayashi,T., Iwamoto,M., Takamoto,I., Kubota,T., Suzuki,R., Usami,S., Jinnouchi,H., Aihara,M., Yamauchi,T., Sakata,T., & Kadowaki,T. (2021). Association between tear and blood glucose concentrations: random intercept model adjusted with confounders in tear samples negative for occult blood. Journal of Diabetes Investigation, 12, 266-276.
Yamaguchi,S., Ojio,Y., Foo,J.C., Michigami,E., Usami,S., Fuyama,T., Ohnuma,K., Oshima,N., Ando, S., Togo, F., & Sasaki, T., (2020). A quasi-cluster randomized controlled trial of a classroom-based mental health literacy educational intervention to promote knowledge and help-seeking/helping behavior in adolescents. Journal of Adolescence, 82, 58-66.
Ando,S., Nishida,A., Yamasaki,S., Koike,S., Morimoto,Y., Hoshino,A., Kanata,S., Fujikawa,S., Endo,K., Usami,S., Furukawa,T.A., Hiraiwa-Hasegawa,M., Kasai,K. (2019). Cohort profile: Tokyo Teen Cohort study (TTC). International Journal of Epidemiology, 48, 1414-1414g
Yamasaki,S., Ando,S., Richards,M., Hatch,S.L., Koike,S., Fujikawa,S., Kanata,S., Endo,K., Morimoto,Y., Arai,M., Okado,H., Usami,S., Furukawa,T.A, Hiraiwa-Hasegawa,M, Kasai,K., & Nishida,A. (2019). Maternal diabetes in early pregnancy, and psychotic experiences and depressive symptoms in 10-year-old offspring: a population-based birth cohort study. Schizophrenia Research, 206, 52-57.
Ando,S., Nishida,A., Usami,S., Koike,S., Yamasaki,S., Kanata,S., Fujikawa,S. Furukawa,T.A, Fukuda,A., Sawyer,S., Hiraiwa-Hasegawa,M., & Kasai,K. (2018). Help-seeking intention for depression in early adolescents: associated factors and sex difference. Journal of Affective Disorders. 238, 359-365.
Itokawa,M., Miyashita,M., Arai,M., Dan,T., Takahashi,K., Tokunaga,T., Ishimoto,K., Toriumi,K., Ichikawa,T., Horiuchi,Y., Kobori,A., Usami,S., Yoshikawa,T., Amano,N., Washizuka,S., Okazaki,Y., & Miyata,T. (2018). Pyridoxamine, a novel treatment for schizophrenia with enhanced carbonyl stress. Psychiatry and Clinical Neurosciences, 72, 35-44.
Yamasaki,S., Usami,S., Sasaki,R., Koike,S., Ando,S., Kitagawa,Y., Matamura,M., Fukushima,M., Yonehara,H., Foo,J.C., Nishida, A., & Sasaki, T., (2018). The association between changes in depression/anxiety and trajectories of psychotic-like experiences over a year in adolescence. Schizophrenia Research. 195, 149-153.
Kakei,Y., Akashi,M., Hasegawa,T., Minamikawa,T., Usami,S., & Komori,T. (2016). Incidence of venous thromboembolism after oral oncologic surgery with simultaneous reconstruction. Journal of Oral and Maxillofacial Surgery. 74, 212-217.

テストと言うと学校場面・入試場面でのテストをイメージされるかもしれませんが、資格試験や人事試験、また性格検査や臨床検査に代表される様々な心理検査・医学検査についても、広くはテストという言葉の範疇に含まれるものです。そして、もっと一般的に言えば、テストは人の性格・適性・能力・興味の水準やその個人差を記述・評価するための「測定道具」として位置付けられます。
道具の良さの程度を一般に品質と言いますが、テストも測定道具である以上、異なるテストであれば、それらの信頼性・妥当性が担保されている程度には差異があり、その結果、測定論的な意味でのテストの品質には大きな違いが生じます。したがって、品質の高いテストを作成する必要性があるのは勿論のこと、テストの品質を維持するために、必要に応じて評価・改良を行う作業が重要になってきます。
測定論的な観点からテストの品質を評価するための大きな理論体系にテスト理論(test theory)がありますが、私はテスト理論に関わる研究成果を活かして、医学検査・心理検査等を中心としたテストの
開発実践に携わることに関心があります。例えば、世界的に利用されている知能検査であるウェクスラー成人知能検査(WAIS)やウェクスラー児童用知能検査(WISC)の日本版、
またASA旭出式社会適応スキル検査や、発達障害の疑いのある幼児の対人行動を多面的に評価するための対人コミュニケーション行動観察フォーマット(FOSCOM)、
そして幼児を対象としたひらがな文字の意味理解能力を評価するためのひらがな文字検査HITSSの開発に取り組んできました。
主要業績
Wechsler, D. 著、日本版WAIS-IV刊行委員会訳編(2018). 日本版WAIS-IV理論マニュアル 日本文化科学社
宇佐美慧 (2016). 第3章:本検査の修正過程/第4章:本検査の信頼性・妥当性. 上野一彦・名越斉子・旭出学園教育研究所. S-M社会生活能力検査第3版 日本文化科学社
宇佐美慧 (2013). FOSCOMの妥当性・信頼性. 東川健・宇佐美慧・宇井円・梶縄広輝・古森一美・田中里実. 対人コミュニケーション行動観察フォーマット(FOSCOM) エスコアール
宇佐美慧 (2013). 第6章:検査の信頼性・妥当性/第7章:サマリーの作成. 佐竹恒夫・足立さつき・池田泰子・宇佐美慧. ひらがな文字検査HITSS エスコアール
宇佐美慧 (2012). 旭出式社会適応スキル検査の作成過程. 肥田野直(監修), 旭出学園教育研究所. ASA旭出式社会適応スキル検査 日本文化科学社
